Data Visualization with Big Data

Why visualize?

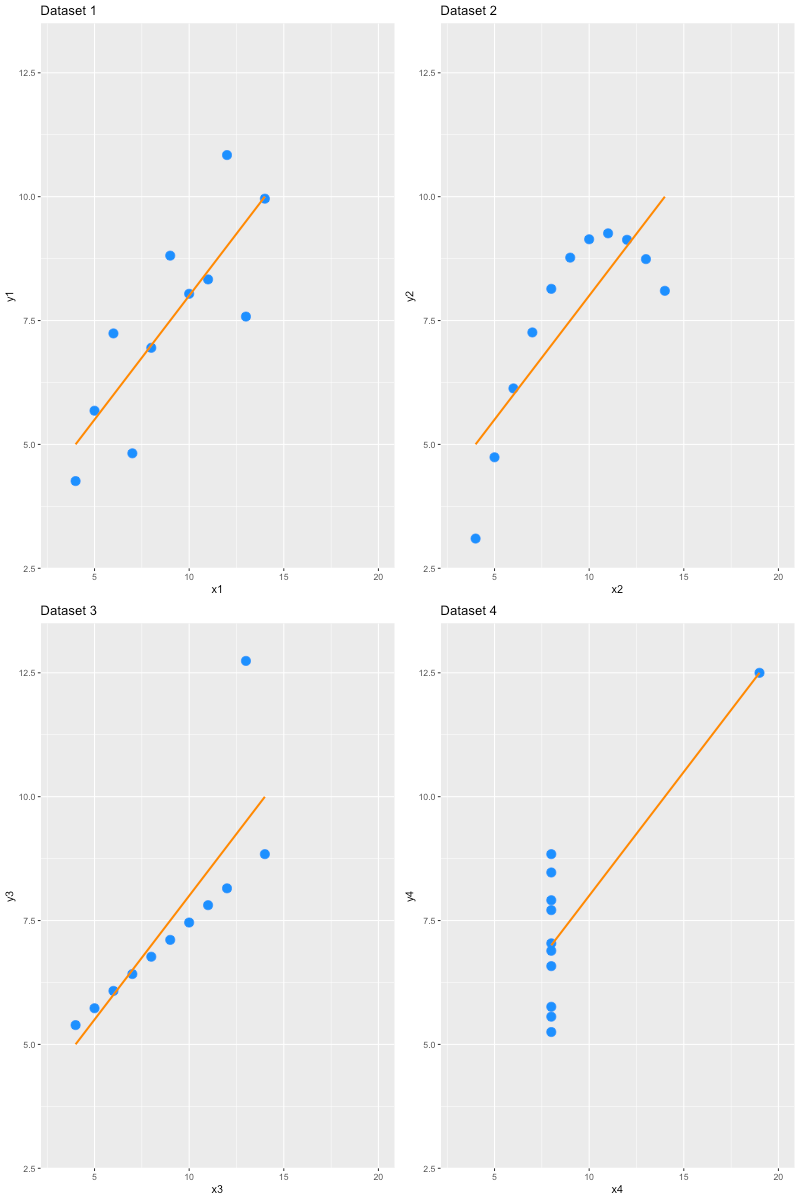
  • We’ve already seen that visualizations are an important data analysis tool (Loftus)
  • Visualization for analysis vs. visualization for communication:
    • “Reveal relationships in large datasets…”
    • “…and communicate information to a broad audience”
    • Not necessarily the same thing!

Reveal relationships

… in large datasets?

A few basic items

From Allen et al. (2012)

  • Are the axes labeled?
  • Are scales and units indicated?
  • Is there a measure of uncertainty (e.g., error bars)?
  • Is the type of uncertainty (e.g., SEM, CI, …) indicated?

Show more, hide less

  • From bar plots …
  • … to box plots …
  • … to swarm plots, violin plots, …

Show more, hide less

…raincloud plots

See https://github.com/jorvlan/raincloudplots

Even with repeated measures

See https://github.com/jorvlan/raincloudplots

Increasing the information density

Using color

  • Think about accessibility
    • About 5-8% of males + 0.5-1% of females cannot distinguish certain shades of red and green
  • Color is itself multidimensional
    • Can use hue and saturation/transparency independently
  • Using the right colormap matters
    • Color maps: each number maps to a color
    • Avoid colormaps that are not perceptually uniform

Perceptually uniform colormaps

Perceptually uniform colormaps

Perceptually uniform colormaps

Solutions?

  • Use grayscale
  • Use a colormap that is optimized for perceptual uniformity
  • Viridis

Viridis

Viridis

If you need a divergent colormap

Or a circular colormap

Aligning graphics and concepts

Based on Goldstone et al. (2015)

  • Continuous dimensions with continuously perceived graphical attributes:
    • Saturation
    • Size
    • Position along an axis
  • Categorical dimensions with categorically perceived graphical attributes:
    • Hue
    • Shape
  • If using time (e.g., in animation) match that with time in the experiment.
    • If that’s a relevant dimension.

So, have we solved the curse of dimensionality?

Using animations

Can help with visualization of complex three-dimensional structures

Or events unfolding over time (we’ll see an example below)

Using interactions

Provides a way to explore the data or link between different attributes

Using interactions

Dimensionality reduction approaches

“To deal with hyper-planes in a 14-dimensional space, visualize a 3D space and say ‘fourteen’ very loudly. Everyone does it.” - Geoff Hinton

  • Linear dimensionality reduction: PCA
  • Non-linear approaches:
    • t-SNE
    • UMAP

Demo

Where does t-sne (and similar) shine?

Where does t-sne (and similar) shine?

Where does t-sne (and similar) shine?

Combining dimensionality reduction and animation

https://hypertools.readthedocs.io/en/latest/